Journal of Gastroenterology
Research and Practice


Research Article - Open Access, Volume 3

Poor prognostic effects of lymphocytopenia induced by preoperative chemoradiotherapy in rectal cancer

Hyung Joo Baik1#; Min Sung An1#; Ji Sun Park2; Yunseon Choi3*

1Department of Surgery, Busan Paik Hospital, Inje University College of Medicine, Busan, Korea.

2Department of Nuclear Medicine, Busan Paik Hospital, Inje University College of Medicine, Busan, Korea.

3Department of Radiation Oncology, Busan Paik Hospital, Inje University College of Medicine, Busan, Korea

#Hyung Joo Baik and Min Sung contributed equally to this work.

*Corresponding Author : Yunseon Choi
Department of Radiation Oncology, Busan Paik Hospital, Inje University College of Medicine, Busan, Korea.
Tel: 82-51-890-8606;
Email: rtyoon@gmail.com

Received : Jul 03, 2023

Accepted : Jul 31, 2023

Published : Aug 07, 2023

Archived : www.jjgastro.com

Copyright : © Choi Y (2023).

Abstract

Background/Aims: Lymphocytopenia is a potential poor prognostic factor in various cancers. We evaluated the prognostic effect of lymphocytopenia caused by preoperative radiation therapy and chemotherapy in rectal cancer patients.

Methods: 147 rectal cancer patients who underwent preoperative chemoradiotherapy and surgical resection between 2008 to 2021 participated. Lymphocyte nadir less than 500/µl were defined as lymphocytopenia in this study. The relationship between lymphocyte nadir after chemoradiotherapy and disease-free survival (DFS) had already been evaluated.

Results: Median follow-up was 60.7 months. 21 patients (14.3%) showed lymphocytopenia related to preoperative chemoradiotherapy.Additionally, 29 diabetes mellitus patients (19.7%) were included. 66 (44.9%) of patients had body mass index exceeding 23 were also included, considered as overweight. Lymphocytopenia was occurred frequently in non-diabetic patients (p=0.006) and non-overweight patients (p=0.001). The pathologic complete response (pCR, n=19) rate after chemoradiotherapy tended to be positively correlated with body mass index (p=0.09). Lymphocytopenia was associated with lower DFS (p=0.009). However, overall survival and locoregional control was not associated to lymphocytopenia (p=0.124 and p=0.156).

Conclusions: Lymphocytopenia induced by preoperative chemoradiotherapy is associated with lower DFS in rectal cancer patients.Efforts to avoid lymphocytopenia may help prevent cancer recurrence.

Keywords: Lymphocytopenia; Rectal cancer; Chemotherapy; Radiation therapy; Disease-free survival.

Abbreviation: DFS: Disease-Free Survival; PCr: Pathologic Complete Response; CRT: Chemoradiotherapy; RT: Radiation Therapy; IRB: Institutional Review Board; BMI: Body Mass Index; CRM: Circumferential Resection Margin; DM: Diabetes Mellitus.

Citation: Joo Baik H, Sung An M, Sun Park J, Choi Y. Poor prognostic effects of lymphocytopenia induced by preoperative chemoradiotherapy in rectal cancer. Japanese J Gastroenterol Res. 2023; 3(5): 1150.

Introduction

Preoperative Chemoradiotherapy (CRT) has been actively used in recent years to obtain better cancer treatment results in locally advanced rectal cancer. Currently, preoperative CRT is considered the standard treatment for locally-advanced rectal cancer, T3 or higher stage, and pelvic lymph node metastases. One well-known factor that can influence the prognosis after cancer treatment is the patient's immune status. Peripheral blood lymphocyte count is considered to be a parameter indicating patient immune status. Blood lymphocyte count is closely correlated with the number of T cells, and low levels are known to interrupt the cancer treatment effect. Especially, lymphocytopenia is known to be associated with immune suppression. However, conventional chemotherapy or Radiation Therapy (RT) is also known to cause lymphocytopenia [1,2]. Large volume irradiation, such as pelvic nodal irradiation is easy to expose to RT induced lymphocytopenia [3,4].

Lymphocytopenia is a potential prognostic factor in various cancers [5-11]. There have been reports that lymphocytopenia is associated with prognosis in lung cancer [5-7,12] breast cancer [9,13], esophageal cancer [8,14,15], oropharyngeal cancer [16], and rectal cancer [10]. However, the association between lymphocytopenia and prognosis in rectal cancer after preoperative CRT is not as established. Liu et al [10] recently showed that lymphocytopenia nadir after preoperative CRT is related to tumor response and survival.

The purpose of this study was to analyze the relationship between lymphocytopenia and disease-free survival (DFS) after surgery for preoperative chemoradiation in rectal cancer. In addition, we investigated whether there is a relationship between the recurrence rate and lymphocytopenia. In addition, clinical factors such as metabolic syndrome also were examined to find the relationship between lymphocytopenia and treatment failure.

Material and methods

Patients and treatment

We conducted a retrospective study for rectal cancer patients who had preoperative CRT before surgical resection. This retrospective study was examined and approved by the Institutional Review Board in Busan Paik Hospital (IRB FILE No: 2021-12-057). From January 2008 to August 2021, we analyzed patients who had lymphocytopenia after preoperative chemoradiation in stage II-III rectal adenocarcinoma. As for the preoperative RT, we irradiated 50.4 Gy /28 fractions of radiation (daily dose 1.8 Gy). Preoperative chemotherapy was consisted with capecitabine, doxifluridine, and 4 cycles of fluorouracil chemotherapy, a similar protocol to a previous German rectal cancer trial [17]. The 147 patients included in this study underwent chemoradiation therapy before curative surgery at Inje University Busan Paik Hospital. We analyzed DFS as a primary endpoint. DFS, loco-regional control, and Overall Survival (OS) were defined as the periods from rectal cancer diagnosis to either events or last follow-up.

Lymphocytopenia definition

Lymphocyte counts were evaluated 3 weeks after beginning of RT to 1 week before surgical resection. If multiple blood samples were taken, the lowest points of lymphocyte counts (nadir) were selected for evaluation. The cut-off point for lymphocytopenia was defined as less than 500/µl, equivalent to a grade II hematologic adverse event according to Common Terminology Criteria for Adverse Events criteria. The relationship between metabolic syndrome and lymphocytopenia was also evaluated.

Inclusion and exclusion criteria

Patients with rectal cancer adenocarcinoma aged over 45 years who received curative aim preoperative chemoradiation therapy and surgical resection at Inje University Busan Paik Hospital from January 2008 to August 2021 were included in this study. Young rectal cancer patients under 45 years-old were excluded from this study because the cancer of young people was more likely to be caused by genetic factors.

Exclusion criteria for this study were as follows: 1) patients with distance metastatic cancer at the time of diagnosis, 2) patients who were diagnosed with other co-occurring malignancies and not cured before treatment, and 3) patients who were not able to follow-up at least 3 months after surgical resection.

Statistical methods

This study used Medcalc (MedCalc Software version 19.2.0 bv, Ostend, Belgium) for statistical analysis. An independent ttest was used for finding clinical factors related to lymphocytopenia or treatment response. A correlation coefficient was used for detecting the relationship between lymphocyte count and body mass index (BMI). Survival analysis was performed by Kaplan-Meyer method and log-rank test. A Cox regression method was used for the multivariate analysis.

Results

Patient characteristics

Median follow-up period was 60.7 months (range 7.1-163.9 months). Table 1 shows the clinical and treatment characteristics of the participants in this study. In this study, 93 patients (63.3%) were male. The mean age of patients was 64.6 (range = 45-83). Clinically, T3 (n=99, 67.3%) was the dominant stage in imaging study. In addition, 103 patients (70.1%) had pelvic lymph node metastases at diagnosis. All patients underwent neoadjuvant chemotherapy, consisting of a 5-fluorouracil based regimen (n=29), capecitabine based regimen (n=113), and doxifluridine (n=5). Most patients (n=124, 84.4%) received low anterior resection (LAR). The pathologic report showed that ypT classification was ypT0 in 22 patients (15.0%), ypT1 in 10 (6.8%), ypT2 in 31 (21.1%), ypT3 in 80 (54.4%), and ypT4 in 4 (2.7%). The ypN classification were ypN0 in 108 patients (73.5%), ypN1 in 27 (18.4%), and ypN2 in 12 (8.2%). According to the pathologic report,circumferential resection margin(CRM) was involved (0 mm) in 2 patients (1.4%), 0.1-2.0 mm in 10 (6.8%). In addition, 13 cases (8.8%) of lymphovascular invasion and 18 cases (12.2%) of perineural invasion were reported. According to previous medical history, 29 (19.7%) diabetes mellitus (DM) patients and 45 (30.6 %) of hypertension patients were included. Additionally, 66 (44.9%) of patients had BMIs exceeding 23, considered as overweight according to Asian criteria [18].

Factors related to lymphocytopenia

Table 2 identifies the factors related to occurrence of lymphocytopenia induced by preoperative CRT. Non-DM patients had higher rates of lymphocytopenia compared to DM patients (p=0.006). Normal-weightor underweight patients had higher risk of lymphocytopenia compared to overweight patients (p=0.001). Figure 1 shows the correlation between lymphocyte nadir and BMI (p=0.076). Old age and hypertension were not related to occurrence of lymphocytopenia.

Factors related to complete response

After preoperative CRT, 19 cases (12.9%) of pathological Complete Response (pCR) were observed in surgical resection. Table 3 shows the factors related to pCR. Lymphocytopenia induced by preoperative CRT did not influence pCR rate. However, being overweight was negatively correlated to pCR rate (p=0.09).

Treatment outcomes and survival analysis

Overall, 5-year DFS was 70.2%. 41 patients showed disease progression during the follow-up periods. Specifically, 13 patients experienced locoregional failure and 30 patients experienced distant failure (2 patients showed both locoregional and distant failure). The lungs (n=17) were the most frequent distant metastases site. Additionally, 5-year OS was 94.2%.

Table 4 summarizes the results of univariate and multivariate analysis for DFS. Lymphocytopenia and pathologic T stage were significant factor for determining DFS in univariate analysis. Prognostic effects on DFS of lymphovascular invasion and perineural invasion were not statistically significant in univariate analysis. Pathologic T stage was the only independent prognostic factor for DFS in multivariate analysis.

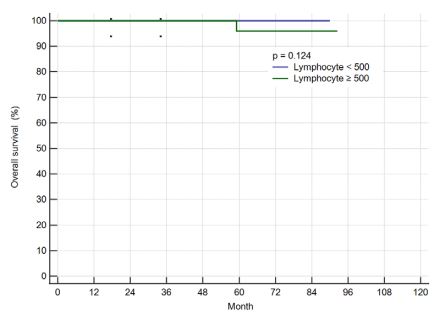
Figure 2 shows the relationship between lymphocytopenia and DFS. Lymphocytopenia is associated with reduced DFS (p = 0.038). Figure 3 showed the relationship between OS and lymphocytopenia. OS was not significantly correlated with lymphocytopenia (p=0.124).

Table 1: Patient characteristics.

Characteristics No. of Pts (%)
Gender
Male 93 (63.3)
Female 54 (36.7)
Age mean 64.6(range 45-83)
<60 47 (32.0)
≥60 100 (68.0)
clinical T stage
cT2 21 (14.3)
cT3 99 (67.3)
cT4 27 (18.4)
clinical N stage
cN0 44 (29.9)
cN1 54 (36.7)
cN2 49 (33.3)
pathologic T stage
pT0 22 (15.0)
pT1 10 (6.8)
pT2 31 (21.1)
pT3 80 (54.4)
pT4 4 (2.7)
pathologic N stage
pN0 108 (73.5)
pN1 27 (18.4)
pN2 12 (8.2)
DM
Yes 29 (19.7)
No 118 (80.3)
Hypertension
Yes 45 (30.6)
No 102 (69.4)
BMI
<23 81 (55.1)
≥23 66 (44.9)
Circumferential resection margin
0 mm 2 (1.4)
0.1-2 mm 10 (6.8)
>2 mm 135 (91.8)
Lymphovascular invasion
Yes 13 (8.8)
No 134 (91.2)
Perineural invasion
Yes 18 (12.2)
No 129 (87.8)
Operation
LAR 124 (84.4)
APR 23 (15.6)
Neoadjuvant chemotherapy
5-fluorouracil 29 (19.7)
Capecitabine 113 (76.9)
Doxifluridine 5 (3.4)
Lymphocyte nadir (/μl)
<500 21 (14.3)
≥500 126 (85.7)
Total 147 (100)

DM: Diabetes Mellitus; BMI: Body Mass Index; LAR: Lower Anterior Resection; APR: Abdominal Perineal Resection.

Table 2: Clinical factors related to lymphocytopenia (<500/μl).

No. of pts p-value
Age 0.776
<60 7/47
≥60 14/100
DM 0.006*
Yes 2/29
No 19/118
Hypertension 0.661
Yes 6/45
No 15/102
BMI 0.001*
<23 15/81
≥23 6/66

DM: Diabetes Mellitus; BMI: Body Mass Index.

Table 3: Clinical factors associated pathological complete response.

No. of pts p-value
Lymphocyte nadir (/μl) 1
<500 2/21
≥500 17/126
clinical T stage 0.152
cT2 5/21
cT3-4 14/126
clinical N stage 0.592
cN0 7/44
cN+ 12/103
Age 0.793
<60 5/47
≥60 14/100
DM 1
Yes 4/29
No 15/118
Hypertension 0.184
Yes 3/45
No 16/102
BMI 0.090
<23 14/81
≥23 5/66

DM: Diabetes Mellitus; BMI: Body Mass Index.

Table 4: Univariate and multivariate analyses for DFS.

Univariate analysis Multivariate analysis
5-year (%) p-value 95% CI(HR) p-value
Lymphocyte nadir
(/μl)
0.038* 0.078
<500 49.9 0.511(0.242-1.077)
≥500 73.3
clinical T stage 0.061
cT2 84.6
cT3-4 67.2
clinical N stage 0.957
cN0 68
cN+ 71.1
pathologic T stage 0.022* 0.038*
pT0-2 78.8 2.086(1.040-4.183)
pT3-4 63.7
pathologic N stage 0.401
pN0 70.4
pN+ 69.5
Age 0.178
<60 82.8
≥60 63.5
Circumferential resection margin 0.166
0-2 mm 46.3
≥2 mm 70.9
Lymphovascular invasion 0.208
Yes 48.9
No 72
Perineural invasion 0.996
Yes 66.5
No 70.7
DM 0.928
Yes 67.1
No 70.5
hypertension 0.896
Yes 69.2
No 70.6
BMI 0.319
<23 67.7
≥23 73.2

DM: Diabetes Mellitus; BMI: Body Mass Index; CI: Confidential Inter- val; HR: Hazard Ratio.

Figure 1: Correlation between lymphocyte counts and body mass index.

Figure 2: Disease-free survival by lymphocyte counts.

Figure 3: Overall survival by lymphocyte counts.

Discussion

This study showed that lymphocytopenia <500/µl after preoperative CRT in rectal cancer patients decreased DFS in patients. Lymphocytopenia itself can be a strong indicator of patient immunity and can be a factor determining the effectiveness of cancer therapy. Lymphocytopenia is related to prognosis after chemoradiation in solid tumors. In reference to lung cancer, lymphocytopenia has been associated with PFS and OS reduction in a 2021 meta-analysis. Moreover, lymphocytopenia after CRT has been associated with poor prognoses in patients with pancreatic cancer. Additionally, lymphocytopenia after CRT has been found to be a factor inhibiting therapeutic outcomes in esophageal cancer.

This study’s results also supported the results of the aforementioned studies and showed that lymphocytopenia was a factor determining DFS even when the tumor was surgically removed.

Lymphocytopenia after CRT has substantially long-lasting effects on treatment outcomes.

Shortening the duration of RT [19] or bone marrow sparing [20] using intensity-modulated radiation therapyor proton therapy [21] can help prevent lymphocytopenia. Interleukin-7 seems to be effective for RT induced lymphocytopenia according to recent study by Byun et al [22]. However, further research is needed to determine whether this approach ultimately improves cancer treatment outcomes.

Overweight patients in this study as classified by BMI showed low risk of lymphocytopenia. In contrast, pCR rates of overweight patients were lower than those of normal weight patients. Moreover, survival gain or better disease control was not detected in overweight patients. Overweight patients may have a higher number of baseline lymphocytes in their blood during CRT compared to normal weight patients. These patients may also have and additional temporary reservoir of lymphocytes. However, being overweight is not correlated to treatment response or long-term cancer treatment outcome in rectal cancer. Obesity itself is not beneficial for health or immunity. Moreover, previous study by Sun et al [23]. Showed that obese patients who underwent preoperative CRT had unfavorable survival outcomes in rectal cancer. Therefore, we can conclude that maintaining appropriate BMI is still important for rectal cancer patients.

As for the limitations of this study, since this study was conducted as retrospectively the blood sampling timing of patients was not consistent. In addition, since the number of anti-cancer or regulatory T cells [24] were not classified and measured specifically for this study, further analysis is needed to determine whether the therapeutic effect was reduced by a smaller number of cytotoxic T cells.

Conclusion

In summary, we found that lymphocytopenia after preoperative CRT plays an important role in determining DFS in rectal cancer patients. Lymphocytopenia after preoperative CRT was related to lower DFS in rectal cancer. Efforts to avoid lymphocytopenia may help prevent cancer recurrence after preoperative CRT. The relationship between a patient's immune status and cancer treatment outcome is an advancing topic of interest, and it is expected that a number of related studies will be conducted in the future.

Declarations

Conflict of interest: The authors have no conflict of interest to declare.

Acknowledgement: This research was supported by a grant of the Korea Health Technology R&D Project throuth the Korea Health Industry Development Institute (KHIDI), funded by the Ministry of Health & Welfare, Republic of Korea (grant number: HR21C1003).

References

  1. Campian JL, Ye X, Sarai G, Herman J, Grossman SA. Severe Treatment-Related Lymphopenia in Patients with Newly Diagnosed Rectal Cancer. Cancer Invest. 2018; 36: 356-61.
  2. Patil VM, Singh GK, Noronha V, Joshi A, Menon N, et al. Lymphopenia during chemoradiation-foe or friend. Ecancermedicalscience. 2020; 14: 1109.
  3. Iorio GC, Spieler BO, Ricardi U, Dal Pra A. The Impact of Pelvic Nodal Radiotherapy on Hematologic Toxicity: A Systematic Review with Focus on Leukopenia, Lymphopenia and Future Perspectives in Prostate Cancer Treatment. Crit Rev Oncol Hematol. 2021; 168: 103497.
  4. Lissoni P, Meregalli S, Bonetto E, Mancuso M, Brivio F, et al. Radiotherapy-induced lymphocytopenia: Changes in total lymphocyte count and in lymphocyte subpopulations under pelvic irradiation in gynecologic neoplasms. J Biol Regul Homeost Agents. 2005; 19: 153-8.
  5. Abravan A, Eide HA, Helland Å, Malinen E. Radiotherapy-related lymphopenia in patients with advanced non-small cell lung cancer receiving palliative radiotherapy. Clin Transl Radiat Oncol. 2020; 22: 15-21.
  6. Abravan A, Faivre-Finn C, Kennedy J, McWilliam A, van Herk M. Radiotherapy-Related Lymphopenia Affects Overall Survival in Patients With Lung Cancer. J Thorac Oncol. 2020; 15: 1624-35.
  7. Joseph N, McWilliam A, Kennedy J, Haslett K, Mahil J, et al. Posttreatment lymphocytopaenia, integral body dose and overall survival in lung cancer patients treated with radical radiotherapy. Radiother Oncol. 2019; 135: 115-9.
  8. Feng J-F, Liu J-S, Huang Y. Lymphopenia Predicts Poor Prognosis in Patients With Esophageal Squamous Cell Carcinoma. Medicine. 2014; 93: e257.
  9. Cho O, Chun M, Kim SW, Jung YS, Yim H. Lymphopenia as a Potential Predictor of Ipsilateral Breast Tumor Recurrence in Early Breast Cancer. Anticancer Res. 2019; 39: 4467-74.
  10. Liu H, Wang H, Wu J, Wang Y, Zhao L, et al. Lymphocyte nadir predicts tumor response and survival in locally advanced rectal cancer after neoadjuvant chemoradiotherapy: Immunologic relevance. Radiother Oncol. 2019; 131: 52-9.
  11. Venkatesulu BP, Mallick S, Lin SH, Krishnan S. A systematic review of the influence of radiation-induced lymphopenia on survival outcomes in solid tumors. Crit Rev Oncol Hematol. 2018; 123: 42-51.
  12. Li H, Yu H, Lan S, Zhao D, Liu Y, et al. Aberrant Alteration of Circulating Lymphocyte Subsets in Small Cell Lung Cancer Patients Treated with Radiotherapy. Technol Cancer Res Treat. 2021; 20: 15330338211039948.
  13. Chen F, Yu H, Zhang H, Nong Y, Wang Q, et al. Risk factors for radiation induced lymphopenia in patients with breast cancer receiving adjuvant radiotherapy. Ann Transl Med. 2021; 9: 1288.
  14. Wang X, Zhao Z, Wang P, Geng X, Zhu L, et al. Low Lymphocyte Count Is Associated With Radiotherapy Parameters and Affects the Outcomes of Esophageal Squamous Cell Carcinoma Patients. Front Oncol. 2020; 10: 997.
  15. Xu C, Jin JY, Zhang M, Liu A, Wang J, et al. The impact of the effective dose to immune cells on lymphopenia and survival of esophageal cancer after chemoradiotherapy. Radiother Oncol. 2020; 146: 180-6.
  16. Ng SP, Bahig H, Jethanandani A, Pollard C, Berends J, et al. Lymphopenia during radiotherapy in patients with oropharyngeal cancer. Radiother Oncol. 2020; 145: 95-100.
  17. Sauer R, Liersch T, Merkel S, Fietkau R, Hohenberger W, et al. Preoperative versus postoperative chemoradiotherapy for locally advanced rectal cancer: results of the German CAO/ARO/ AIO-94 randomized phase III trial after a median follow-up of 11 years. J Clin Oncol. 2012; 30: 1926-33.
  18. Appropriate body-mass index for Asian populations and its implications for policy and intervention strategies. The Lancet. 2004; 363: 157-63.
  19. Zhao Q, Chen G, Ye L, Shi S, Du S, et al. Treatment-duration is related to changes in peripheral lymphocyte counts during definitive radiotherapy for unresectable stage III NSCLC. Radiat Oncol. 2019; 14: 86.
  20. Liu M, Li X, Cheng H, Wang Y, Tian Y. The Impact of Lymphopenia and Dosimetric Parameters on Overall Survival of Esophageal Cancer Patients Treated with Definitive Radiotherapy. Cancer Manag Res. 2021; 13: 2917-24.
  21. Mohan R, Liu AY, Brown PD, Mahajan A, Dinh J, et al. Proton therapy reduces the likelihood of high-grade radiation-induced lymphopenia in glioblastoma patients: Phase II randomized study of protons vs photons. Neuro Oncol. 2021; 23: 284-94.
  22. Byun HK, Kim KJ, Han SC, Seong J. Effect of Interleukin-7 on Radiation-Induced Lymphopenia and Its Antitumor Effects in a Mouse Model. Int J Radiat Oncol Biol Phys. 2021; 109: 1559-69.
  23. Sun Y, Xu Z, Lin H, Lu X, Huang Y, et al. Impact of body mass index on treatment outcome of neoadjuvant chemoradiotherapy in locally advanced rectal cancer. Eur J Surg Oncol. 2017; 43: 1828- 34.
  24. McCoy MJ, Hemmings C, Miller TJ, Austin SJ, Bulsara MK, et al. Low stromal Foxp3+ regulatory T-cell density is associated with complete response to neoadjuvant chemoradiotherapy in rectal cancer. Br J Cancer. 2015; 113: 1677-86.